Задачи на растяжение-сжатие | ПроСопромат.ру
Расчет бруса с зазором. Для статически неопределимого стального ступенчатого бруса построить эпюры продольных сил, нормальных напряжений, перемещений. Проверить прочность бруса. До нагружения между верхним концом и опорой имел место зазор Δ=0,1 мм. Материал – сталь Ст 3, модуль продольной упругости Е=2·105 МПа, допускаемое напряжение [σ]=160МПа.

- После нагружения зазор закроется и реакции возникнут и в нижней, и в верхней опоре. Покажем их произвольно, это реакции RA и RВ. Составим уравнение статики.
∑у=0 RA — F1 + F2 — RВ=0
В уравнении 2 неизвестных, а уравнение одно, значит задача 1 раз статически неопределима, и для ее решения требуется 1 дополнительное уравнение.
Это уравнение совместности деформаций. В данном случае совместность деформаций участков бруса состоит в том, что изменение длины бруса (удлинение) не может превзойти величины зазора, т.е. Δℓ=Δ, это условие совместности деформации.
- Теперь разобьем брус на участки и проведем на них сечения – их 4 по количеству характерных участков. Каждое сечение рассматриваем отдельно, двигаясь в одном направлении – от нижней опоры вверх. В каждом сечении выражаем силу N через неизвестную реакцию. Направляем N от сечения.

Выпишем отдельно значения продольных сил в сечениях:
N1 = — RА
N2 = 120 — RА
N3 = 120 — RА
N4 = 30- RА
3. Вернемся к составлению условия совместности деформации. Имеем 4 участка, значит
Δℓ1+ Δℓ2+ Δℓ3+ Δℓ4= Δ (величина зазора).
Используя формулу Гука для определения абсолютной деформации составим уравнение совместности деформаций, — это именно то дополнительное уравнение, которое необходимо для решения задачи.
Попробуем упростить уравнение. Помним, что величина зазора Δ=0,1 мм = 0,1·10-3 м
Е – модуль упругости, Е=2·105МПа=2·108кПа.
Подставляем вместо N их значения, записанные через опорную реакцию RА.

4. Вычисляем N и строим эпюру продольных сил.
N1=- RА=-47,5кН
N2=120 — RА=72,5кН
N3=120 — RА=72,5кН
N4=30- RА=-17,5кН.

5. Определяем нормальные напряжения σ по формуле и строим их эпюры

Строим эпюру нормальных напряжений.

Проверяем прочность.
σmax= 90,63 МПа < [σ]=160МПа.
Прочность обеспечена.
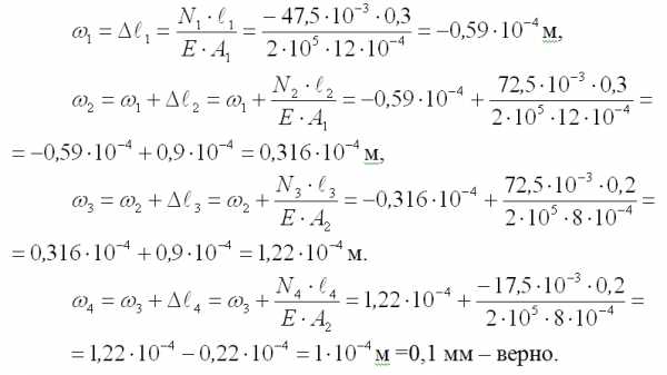
- Вычисляем перемещения, используя формулу Гука для деформаций.
Идем от стены А к зазору.

Получили величину ω4, равную зазору ,это является проверкой правильности определения перемещений.
Строим эпюру перемещений.

Задача решена.
prosopromat.ru
Расчет опорной реакции при растяжении-сжатии
Задача
Для прямого ступенчатого стержня нагруженного системой продольных сил (рис. 1), где F1=25кН, F2=50кН, F3=30кН, требуется определить величину и направление опорной реакции в заделке.
рис. 1
Пример решения
Проведем координатную ось z совпадающую с продольной осью стержня.
Так как при растяжении-сжатии все внешние силы приложенные к стержню расположены вдоль его оси, то из возможных для заделки шести усилий здесь будет только одно — продольная реакция R.
Для того чтобы записать уравнение статики зададим этой силе произвольное направление, например влево (рис. 2).
рис. 2
Запишем уравнение равновесия (неподвижности) стержня.Для этого, спроецируем все силы на ось z, сума которых должна быть равна нулю.
При этом, силы направление которых совпадает с направлением оси z примем положительными, а силы, имеющие обратное направление — соответственно отрицательными:
Отсюда находим величину опорной реакции R:
Положительный знак реакции R означает что изначально выбранное направление оказалось правильным.
Проверка решения
Для проверки правильности полученного результата, можно просто сложить все силы направленные вправо:
и силы направленные влево (включая опорную реакцию R):
Эти суммы должны совпадать.
Построение эпюры внутренних продольных сил >
Другие примеры решения задач >
isopromat.ru
Задачи на кручение | ПроСопромат.ру
Пусть:М1
Требуется: 1) Построить эпюру крутящих моментов и подобрать размеры поперечных сечений заданной формы, соблюдая следующие соотношения между ними:
2) Построить эпюру углов поворота.

Сначала составляем уравнение статики для всего бруса:
(1)
Здесь два неизвестных, следовательно, требуется еще одно уравнение. Его получим, если сформулируем условие совместности деформаций всех трех участков бруса. Оно заключается в том, что поворот правого опорного сечения относительно левого опорного сечения для рассматриваемого бруса невозможен, поскольку оба его концы жестко защемлены:
φI+ φII+ φIII=0.
Учитывая, что
получаем:
(2)
Сократим на , тогда будет:
(2′)
Выразим моменты инерции сечений разных форм с учетом заданных соотношений размеров:

При h/b=2: β=0,229, и тогда IкIII= β∙h∙b3=0,229∙(2b)∙b3=0,458∙ b4=0,458∙ c4.
Итак, все моменты инерции выражены через один параметр с, что позволит довести до числа решение уравнения (2′):
или после сокращения на с4:
(2′′)
С помощью метода сечений выразим
(а)
(б)
(в)
С учетом (а), (б) и (в) уравнение (2′′), будет:
откуда находим значение МА:
— 13,892МА=3,33.
МА=-0,24кНм
Тогда из (а), (б) и (в) найдем:
Эти результаты показаны в виде эпюры крутящих моментов.
Подбор размеров сечений производится по условиям прочности:
— на первом участке
Для круглого сечения
При заданном соотношении d=c:
Тогда
— на втором участке
Для кольцевого сечения
Здесь мы должны учесть соотношения размеров, при которых и найдены внутренние усилия, то – есть
тогда:
— на третьем участке
Для прямоугольного сечения . При соотношениях
По таблице α=0,246. И тогда Wк=2∙0,246∙с3.
Из условия прочности
Из трех требуемых значений «с» (0,023м, 0,04м и 0,046м) принимаем наибольшее с=0,046м и тогда проектные значения размеров сечений на разных участках должны быть
— на первом участке: круглое сечение диаметром d=0,046м,
у которого
— на втором участке:
— на третьем участке: прямоугольное сечение шириной b=c=0,046м
и высотой h=2b=2∙0,046=0,092 м,
у которого Iк=β∙h∙b3=0,229∙0,092∙0,0463=205∙10-8м4.
2. Построение эпюры углов поворота.
Для этого вычисляются углы поворота сечений, расположенных на границах участков бруса (эти сечения на схеме обозначены цифрами в кружочках), они откладываются в виде ординат, вершины которых соединяются прямыми линиями. Так:
α0=0, поскольку крайнее левое сечение жестко защемлено и поворачиваться вокруг продольной оси z не может,

Равенство нулю угла поворота крайнего правого сечения, тоже жестко защемленного, служит контролем правильности всего решения задачи.
prosopromat.ru
сжатие | Лекции и примеры решения задач механики
Растяжением или сжатием брусьев называют такой вид деформации, при котором в их поперечных сечениях возникает единственный внутренний силовой фактор – продольная сила N.
Брус при растяжении-сжатии называют стержнем.
Для определения продольной силы используется метод сечений:
В сечениях бруса, удаленных более чем на величину h (рис. 2.1) от торцов (мест нагружения), усилие N на основании принципа Сен-Венана равномерно распределяется по площади поперечного сечения, вызывая нормальные напряжения:
В наклонном сечении возникают нормальные σα и касательные τα напряжения:
причем
Рис. 2.1
При растяжении (сжатии) имеют место только линейные деформации:
— абсолютная продольная деформация (удлинение/укорочение)
— абсолютная продольная деформация (сужение/утолщение)
— относительная продольная деформация
— относительная поперечная деформация
Отношение
называется коэффициентом поперечной деформации (коэффициентом Пуассона).
Напряжения и деформации взаимосвязаны законом Гука
где:
E – модуль упругости I рода (модуль Юнга), является постоянной величиной для данного материала и характеризует его жесткость, для стали E=200ГПа.
Изменение длины участка бруса постоянного сечения вычисляется по формуле
Величина EiAi называется жесткостью поперечного сечения бруса при растяжении (сжатии).
Полное удлинение (укорочение) бруса с несколькими силовыми участками:
Условие прочности при растяжении/сжатии выражается неравенством:
Здесь
— допускаемое напряжение;
σпред — предельное (опасное) для данного материала напряжение, равное пределу текучести (σТ или σ0,2) для пластичных материалов или пределу прочности σпч для хрупких материалов;
[n] – нормативный коэффициент запаса прочности.
Условие прочности позволяет решать три типа задач:
1. Проверка прочности (проверочный расчет)
2. Подбор сечения (проектировочный расчет)
3. Определение грузоподъемности (допускаемой нагрузки)
При расчете на жесткость растянутого (сжатого) бруса обычно определяют величину продольной деформации, которая не должна превышать допустимых значений, т.е.
Примеры решения задач >
Лекции по сопромату >
isopromat.ru
Статически неопределимые задачи. Р-С | ПроСопромат.ру
Расчет бруса с зазором. Для статически неопределимого стального ступенчатого бруса построить эпюры продольных сил, нормальных напряжений, перемещений. Проверить прочность бруса. До нагружения между верхним концом и опорой имел место зазор Δ=0,1 мм. Материал – сталь Ст 3, модуль продольной упругости Е=2·105 МПа, допускаемое напряжение [σ]=160МПа.

- После нагружения зазор закроется и реакции возникнут и в нижней, и в верхней опоре. Покажем их произвольно, это реакции RA и RВ. Составим уравнение статики.
∑у=0 RA — F1 + F2 — RВ=0
В уравнении 2 неизвестных, а уравнение одно, значит задача 1 раз статически неопределима, и для ее решения требуется 1 дополнительное уравнение.
Это уравнение совместности деформаций. В данном случае совместность деформаций участков бруса состоит в том, что изменение длины бруса (удлинение) не может превзойти величины зазора, т.е. Δℓ=Δ, это условие совместности деформации.
- Теперь разобьем брус на участки и проведем на них сечения – их 4 по количеству характерных участков. Каждое сечение рассматриваем отдельно, двигаясь в одном направлении – от нижней опоры вверх. В каждом сечении выражаем силу N через неизвестную реакцию. Направляем N от сечения.

Выпишем отдельно значения продольных сил в сечениях:
N1 = — RА
N2 = 120 — RА
N3 = 120 — RА
N4 = 30- RА
3. Вернемся к составлению условия совместности деформации. Имеем 4 участка, значит
Δℓ1+ Δℓ2+ Δℓ3+ Δℓ4= Δ (величина зазора).
Используя формулу Гука для определения абсолютной деформации составим уравнение совместности деформаций, — это именно то дополнительное уравнение, которое необходимо для решения задачи.
Попробуем упростить уравнение. Помним, что величина зазора Δ=0,1 мм = 0,1·10-3 м
Е – модуль упругости, Е=2·105МПа=2·108кПа.
Подставляем вместо N их значения, записанные через опорную реакцию RА.

4. Вычисляем N и строим эпюру продольных сил.
N1=- RА=-47,5кН
N2=120 — RА=72,5кН
N3=120 — RА=72,5кН
N4=30- RА=-17,5кН.

5. Определяем нормальные напряжения σ по формуле и строим их эпюры

Строим эпюру нормальных напряжений.

Проверяем прочность.
σmax= 90,63 МПа < [σ]=160МПа.
Прочность обеспечена.
- Вычисляем перемещения, используя формулу Гука для деформаций.
Идем от стены А к зазору.

Получили величину ω4, равную зазору ,это является проверкой правильности определения перемещений.
Строим эпюру перемещений.

Задача решена.
prosopromat.ru
Решение задач на тему «Растяжение и сжатие» — Мегаобучалка
Задача 1
Построить эпюру распределения продольных сил и нормальных напряжений по длине бруса (рис. 97). Определить перемещение сечения А−А.
Е = 2·105 МПа, А = 2 см2 .
. 
Рис. 97
Решение
Разобьем брус на отдельные участки, начиная со свободного конца. Границы участков – сечения, в которых приложены внешние силы и места изменения размеров поперечного сечения. Имеем два участка.
Применяя метод сечений, отбрасываем левую часть бруса. Проведем произвольное сечение на первом участке и рассмотрим равновесие оставшейся части изображенной на рис. 96, проектируя на ось z продольные силы F1, N1.
F1 —N1 =0
N1 = F1=10 кН
Проведем произвольное сечение на втором участке и рассмотрим равновесие оставшейся части изображенной на рис. 98, проектируя на ось z продольные силы F1, F2, N2.
F1 + F2—N2 = 0
N2 =F1 + F2=10+20 = 30 кН

Рис. 98
Построим график (эпюру) показывающую как изменяется N по длине бруса. В пределах одного участка продольная сила не меняется, поэтому эпюра N ограничена линией параллельной оси.
Эпюру нормальных напряжений получим, разделив значения N на соответствующие площади поперечных сечений.
Эпюрой перемещений называется график, показывающий закон изменения величин перемещений поперечных сечений бруса по его длине. Эпюру перемещений строят, начиная с защемленного конца. Перемещение произвольного сечения b − b бруса на участке 2 равно удлинению части бруса длиной z2. На конце второго участка z2 = 2 м.
Перемещение произвольного сечения a − a бруса на участке 1 равно удлинению части бруса длиной z1. На конце первого участка z1 = 3м
Перемещение сечения А−А равно сумме перемещений на первом и втором участке.
Задачи для самостоятельного решения
Стальной стержень переменного сечения находится под действием силы .
Найти наибольшее напряжение в сечении стержня, круглого сечения и определить величину перемещения указанного на рис. 99 сечения.
Таблица 7
| Величины | Варианты | |||||||||
| А·10-4, м2 | ||||||||||
| a, м | ||||||||||
| b, м | ||||||||||
| с, м | ||||||||||
| F1, кН | ||||||||||
| F2 , кН |
Расчетные схемы указаны на рис. 99, а числовые данные приведены в табл. 7.
При расчете можно принимать модуль упругости при растяжении для стали Е = 2·105 МН/м2.

Рис. 99
Кручение
При кручении возникает один внутренний силовой фактор — крутящий момент M z (рис. 100). Кручение круглого бруса происходит при нагружении его парами сил с моментами в плоскостях, перпендикулярных продольной оси.

Рис. 100
При этом образующие бруса искривляются и разворачиваются на угол γ называемый углом сдвига (угол поворота образующей Поперечные сечения разворачиваются на угол φ, называемый углом закручивания (угол поворота сечения, рис.101).
Длина бруса и размеры поперечного сечения при кручении не изменяются.

Рис. 101
Связь между угловыми деформациями определяется соотношением
;
l — длина бруса; R — радиус сечения.
Длина бруса значительно больше радиуса сечения, следовательно, φ»γ.
Угловые деформации при кручении рассчитываются в радианах.
Гипотезы при кручении
1. Гипотеза плоских сечений: поперечное сечение бруса, плоское и перпендикулярное продольной оси, после деформациии остается плоским и перпендикулярным продольной оси.
2. Радиус, проведенный из центра поперечного сечения бруса, после деформации остается прямой линией (не искривляется).
3. Расстояние между поперечными сечениями после деформации не меняется. Ось бруса не искривляется, диаметры поперечных сечений не меняются.
megaobuchalka.ru
Примеры решения задач на растяжение и сжатие
Здесь можно найти примеры решения задач на растяжение и сжатие: статически определимые и неопределимые брусья, а также стержневые системы.
Статически определимый брус
Первый тип задач по сопромату, с которым сталкивается студент. Эти задачи в основном связаны с определением продольных усилий и нормальных напряжений в поперечных сечениях бруса, а также определением относительных деформаций и осевых перемещений поперечных сечений. Обязательно расчеты этих величин подкрепляются эпюрами.
Статически неопределимый брус
Эти задачи очень похожи на первый тип, однако, решение их всегда начинается с раскрытия статической неопределимости, путем решения дополнительного уравнения совместности деформации, помимо статического уравнения. Раскрытие статической неопределимости контролируется построением эпюры перемещений поперечных сечений. Если перемещения торцевых сечений, которые закреплены жестко, равны нулю, то это значит, что задача решена верно. И также решение можно проверить, определив потенциальную энергию деформации бруса и работу внешних сил. При правильном решении задачи эти величины должны быть равны друг другу.
Статически определимая стержневая система
В таких задачах, как правило, определяются усилия в стержнях, путем составления и решения уравнений равновесия статики. После чего переходят к напряжениям, проводят расчет на прочность. И также часто в условии таких задач требуют определить перемещение какой-либо точки.
Статически неопределимая стержневая система
Для решения подобных задач, помимо уравнений статического равновесия, составляются дополнительные уравнения совместности деформаций. При составлении последних, считают, что при деформации системы стержни поворачиваются на незначительную величину и углы наклона стержней остаются такими же, как и до нагружения. Расчеты могут производиться разными методиками: по допускаемым напряжениям, по предельным нагрузкам. Помимо усилий, которые появляются от статического нагружения, иногда, в задачах рассчитываются монтажные и температурные напряжения.
sopromats.ru